Introduction: Ponatinib has proven its efficacy as salvage therapy for patients intolerant, or resistant (and ABL1T315I+ mutation) to at least 2 tyrosine kinase inhibitors (TKI) in CP-CML. Despite the unfavourable profile of such patients, some durable deep molecular response (DMR, i. e. MR 4 and MR4.5) might be observed, and it is arguable to propose a treatment-free remission (TFR) strategy to these patients, despite the fact that this is not currently recommended. The aim of this study is to analyse the results of TFR in CP-CML patients that have received ponatinib as last line of therapy for any reason.
Methods: This a retrospective multicentric European analysis of CP-CML patients undergoing ponatinib at any dose for prior TKI-intolerance or -resistance and obtaining at least 2 years of MR4.5, assessed on at least 4 successive samples, and undergoing a treatment-free remission (TFR) procedure and follow-up. All BCR::ABL1 assessments have been performed in ELN reference laboratories and expressed in % on the international scale (IS). Loss of major molecular response (MMR i. e. BCR::ABL1 transcript ≥0.1% IS) on one datapoint was sufficient to consider relapse. Clinical information were extracted from individual patients' files. All patients have given their written agreement in participating to this observational study.
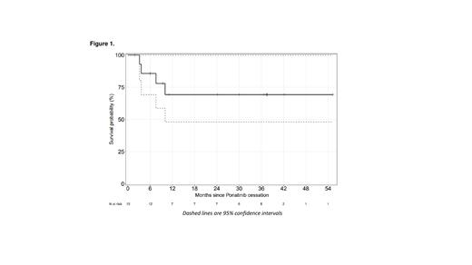
Results: Fifteen cases could be collected and analysed with 27% males, 73% females of a median age of 43 (24-79) years at CML diagnosis and of 56 (30-83) at ponatinib cessation. All patients were in CP at diagnosis and at ponatinib cessation. None of these patients were harbouring additional chromosomal abnormalities at diagnosis or beyond. Sokal scores were low in 50%, intermediate in 25% and high in 25% of patients, ELTS scores were low in 64% and intermediate in 36% of patients. None of these patients has undergone allogeneic stem cell transplant. Three patients were ABL1T315I mutated. The median time between CP-CML diagnosis and ponatinib initiation was 52 (1.5-145) months, the median initial dose of ponatinib was 45 mg QD for 12 patients, 30 mg QD for 2 patients and 15 mg QD for 1 patient. One patient had 4 previous lines of TKI prior to ponatinib, 4 patients 3 prior lines, 5 patients 2 prior lines, 4 patients 1 prior line and 1 patient was in ponatinib first-line (EPIC trial). Thirteen arterial events occurred on ponatinib in these 15 patients, all prior to ponatinib cessation. At cessation, the median dose of ponatinib was 30 mg QD for 1 patient, 15 mg QD for 7 patients, 7.5 mg QD for 2 patients, and ≤ 6.4 mg QD for 4 patients. Ten (67%) patients were resistant to prior TKI before ponatinib, 3 were intolerant, 1 intolerant and resistant and 1 was in first-line ponatinib. The median ponatinib treatment duration prior to cessation was 71 (21- 124) months and the time from ponatinib initiation to sustained DMR was 14 (2-112) months. The median follow-up after cessation was 11 (2-55) months. One patient died in TFR of severe SARS-CoV2 lung infection 23 months after cessation. The median survival without MMR loss after ponatinib cessation was 69.26% at 12-months, 24-months and 54-months. Time to MMR-loss KM curve is presented in Figure 1. The four patients loosing MMR after ponatinib cessation resumed low dose ponatinib (≤ 15 mg QD) for 2 and asciminib (80 mg BID) for 2, three patients regained MMR (one non evaluable with too short follow-up).
Conclusions: TFR attempt represents a strategy that can be applied to ponatinib patients in the setting of heavily pretreated CP-CML in a similar way as of less advanced CP-CML patients, with high success rates and no disease progression. If those data are confirmed by further studies and longer follow-up, TFR strategies might have to be considered also in previously heavily pre-treated patients.
Disclosures
Nicolini:SUN pharma: Honoraria, Membership on an entity's Board of Directors or advisory committees; Pfizer: Honoraria, Membership on an entity's Board of Directors or advisory committees; INCYTE BIOSCIENCES: Honoraria, Membership on an entity's Board of Directors or advisory committees, Research Funding; Novartis: Honoraria, Membership on an entity's Board of Directors or advisory committees, Research Funding, Speakers Bureau; BMS: Honoraria, Membership on an entity's Board of Directors or advisory committees. Abruzzese:BMS: Consultancy, Membership on an entity's Board of Directors or advisory committees; Incyte: Consultancy, Membership on an entity's Board of Directors or advisory committees; Novartis: Consultancy, Membership on an entity's Board of Directors or advisory committees; Pfizer: Consultancy; Takeda: Consultancy. Roth-Guepin:Novartis: Honoraria, Membership on an entity's Board of Directors or advisory committees. Alcazer:SOBI: Consultancy, Speakers Bureau; Gilead: Speakers Bureau; Jazz Pharmaceuticals: Speakers Bureau. Huguet:Amgen: Consultancy, Membership on an entity's Board of Directors or advisory committees; Clinign: Consultancy, Membership on an entity's Board of Directors or advisory committees; Gilead: Consultancy, Membership on an entity's Board of Directors or advisory committees; Incyte Corporation: Consultancy, Membership on an entity's Board of Directors or advisory committees; Novartis: Consultancy, Membership on an entity's Board of Directors or advisory committees; Pfizer: Consultancy, Membership on an entity's Board of Directors or advisory committees; Servier: Consultancy, Membership on an entity's Board of Directors or advisory committees. Castagnetti:Incyte: Consultancy, Honoraria; Pfizer: Consultancy, Honoraria, Research Funding; Bristol Myers Squibb: Honoraria; Novartis: Consultancy, Honoraria, Research Funding. Rea:Pfizer: Honoraria, Membership on an entity's Board of Directors or advisory committees, Speakers Bureau; INCYTE BIOSCIENCES: Consultancy, Honoraria, Speakers Bureau; Novartis: Consultancy, Honoraria, Membership on an entity's Board of Directors or advisory committees, Speakers Bureau.
